Номер 902 - ГДЗ Алгебра 8 класс. Мерзляк, Полонский. Учебник. Страница 224

Вернуться к содержанию учебника

Упражнения для повторения курса алгебры 8 класса. Страница 224

899 900 901 902 903 904 905

Вопрос

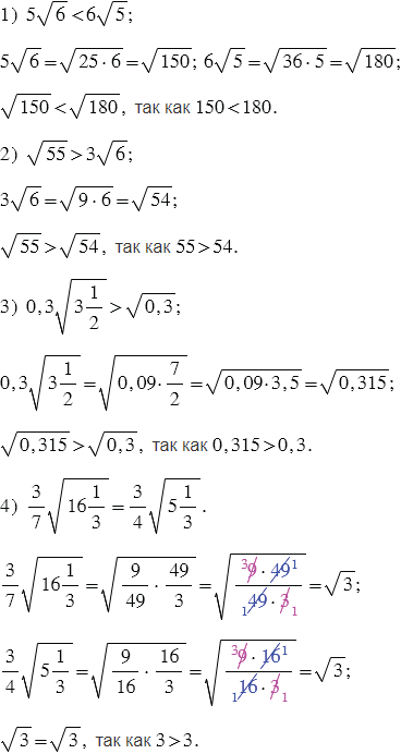
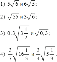
Сравните числа:

Подсказка

Ответ


Вернуться к содержанию учебника