Номер 693 - ГДЗ Алгебра 8 класс. Мерзляк, Полонский. Учебник. Страница 171

Вернуться к содержанию учебника

Упражнения §20. Страница 171

690 691 692 693 694 695 696

Вопрос

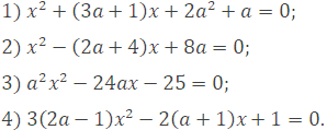
Для каждого значения решите уравнение:

Подсказка

Вспомните:

  1. Что такое уравнение.
  2. Решение уравнений.
  3. Что такое корень уравнения.
  4. Какое уравнение называют квадратным.
  5. Какое выражение называют дискриминантом квадратного уравнения.
  6. Формулу корней квадратного уравнения.
  7. Сложение, вычитание, умножение и деление рациональных чисел.
  8. Квадрат суммы и квадрат разности двух выражений.
  9. Модуль числа.

Ответ


Вернуться к содержанию учебника